F Ori G Derivat





Reguli Formule De Derivare Mathematics

Reguli Formule De Derivare Mathematics

Matematica Online Analiză Matematică Formule De Derivare Integrale Primitive Formule Volum Corpuri De Rotație

Matematica Online Analiză Matematică Formule De Derivare Integrale Primitive Formule Volum Corpuri De Rotație

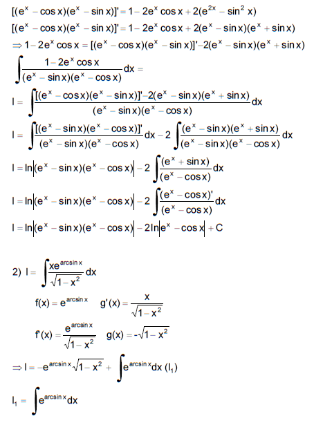
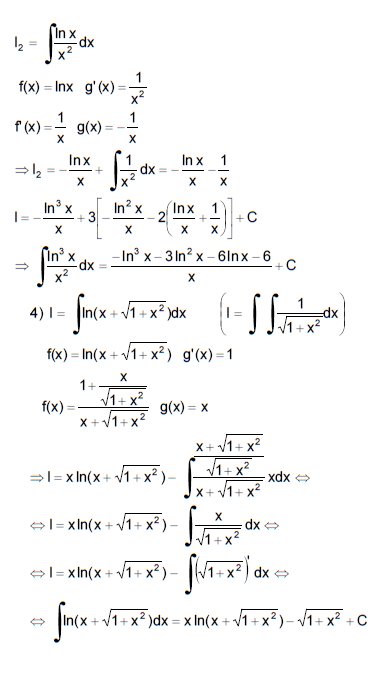
Integrare Prin Părți Math Wiki Fandom

Integrare Prin Părți Math Wiki Fandom

Derivarea Unor Functii Elementare Youtube

Derivarea Unor Functii Elementare Youtube

Integrare Prin Părți Math Wiki Fandom

Integrare Prin Părți Math Wiki Fandom

Cat Este E Derivat

Cat Este E Derivat

Cat Este E Derivat

Solved Identify Which Of The Following Graphs Is The Orig Chegg Com

Solved Identify Which Of The Following Graphs Is The Orig Chegg Com

Matematica Online Analiză Matematică Formule De Derivare Integrale Primitive Formule Volum Corpuri De Rotație

Matematica Online Analiză Matematică Formule De Derivare Integrale Primitive Formule Volum Corpuri De Rotație

Integrare Prin Părți Math Wiki Fandom

Integrare Prin Părți Math Wiki Fandom

Chapter 2 Worbook Good Digital System I Eeng251 Uob Studocu

Chapter 2 Worbook Good Digital System I Eeng251 Uob Studocu

Https Docs Wto Org Gattdocs Q Gg Comtd W410a1 Pdf

Https Docs Wto Org Gattdocs Q Gg Comtd W410a1 Pdf

2

2

Practical English

Practical English

Pdf A Risk Evaluation Of Traces Of Packaging Materials In Former Food Products Intended As Feed Materials

Pdf A Risk Evaluation Of Traces Of Packaging Materials In Former Food Products Intended As Feed Materials

Pdf Field Testing And Exploitation Of Genetically Modified Cassava With Low Amylose Or Amylose Free Starch In Indonesia

Pdf Field Testing And Exploitation Of Genetically Modified Cassava With Low Amylose Or Amylose Free Starch In Indonesia

Moreskin Day Cream Moreskin Night Cream Shopee Indonesia

Moreskin Day Cream Moreskin Night Cream Shopee Indonesia

Jual New Pixy Twc Perfect Fit Two Way Cake 08 Tropical Beige Jakarta Barat Ascocobeauty Tokopedia

Jual New Pixy Twc Perfect Fit Two Way Cake 08 Tropical Beige Jakarta Barat Ascocobeauty Tokopedia

Pdf Effect Of Gbr In Combination With Deproteinized Bovine Bone Mineral And Or Enamel Matrix Proteins On The Healing Of Critical Size Defects Dieter Bosshardt Academia Edu

Pdf Effect Of Gbr In Combination With Deproteinized Bovine Bone Mineral And Or Enamel Matrix Proteins On The Healing Of Critical Size Defects Dieter Bosshardt Academia Edu

Https Ditjenpkh Pertanian Go Id Userfiles Regulasi 99f25a3ed07e86e3ac1dc0edf32a4c42 Pdf

Https Ditjenpkh Pertanian Go Id Userfiles Regulasi 99f25a3ed07e86e3ac1dc0edf32a4c42 Pdf

Https Www Jstor Org Stable 41106819

Https Www Jstor Org Stable 41106819

Source : pinterest.com